IDZ 12.1 - Option 30. Decisions Ryabushko AP

IDZ 12.1 - Option 30. Decisions Ryabushko AP

Sold <10 Reviews 1
0 000 X
There are no such quantities in stock
By clicking the button, you agree to terms for buyers
Secure deal
Instant delivery

Product description

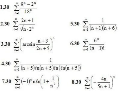
1. Prove the convergence of the series and find its sum.

2. Investigate the convergence of these series with positive terms. (2-6)

Investigate the convergence and absolute convergence of an alternating series. (7-8)

Main features

  • Content type File
  • Content description 107,42 kB
  • Updated on the site 10.07.2025
Detailed solution. Designed in PDF format for easy viewing of IDZ solutions on smartphones and PCs. In MS Word (doc format) sent additionally.

Reviews

1 0
0 000 X
There are no such quantities in stock
By clicking the button, you agree to terms for buyers
IDZ 12.1 - Option 30. Decisions Ryabushko AP
1 Sold <10 Reviews 1
0 000 X
Secure deal
Instant delivery

You viewed