IDZ 12.2 - Option 29. Decisions Ryabushko AP
Sold <10
0 000 X
There are no such quantities in stock
By clicking the button, you agree to
terms for buyers
Secure deal
Instant delivery
Product description
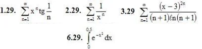
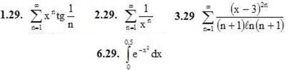
1. Find the area of convergence of the series. (1-3)
4. Arrange the function f (x) in a Taylor series in the neighborhood of this point x0. Find the area of convergence of the series obtained for this function.
4.29 f (x) = sinx, x0 = a
5. Calculate the approximate value specified with a given degree of accuracy α, using power series expansion appropriately chosen function
5.29. 1 / 7√136, α = 0,001
6. I Am using the expansion of the integrand in a power series, calculate the definite integral said up to 0,001.
7. Find a power series expansion in powers of x solving the differential equation (record the first three non-zero, a member of this expansion)
7.29. y ´= x2 + ey, y (0) = 0
8. The method of successive differentiation to find the first k terms of the expansion in a power series solutions of differential equations at the specified initial conditions.
8.29. 4x2y ´´ + y = 0, y (1) = 1, y ´(1) = 1/2, k = 3
4. Arrange the function f (x) in a Taylor series in the neighborhood of this point x0. Find the area of convergence of the series obtained for this function.
4.29 f (x) = sinx, x0 = a
5. Calculate the approximate value specified with a given degree of accuracy α, using power series expansion appropriately chosen function
5.29. 1 / 7√136, α = 0,001
6. I Am using the expansion of the integrand in a power series, calculate the definite integral said up to 0,001.
7. Find a power series expansion in powers of x solving the differential equation (record the first three non-zero, a member of this expansion)
7.29. y ´= x2 + ey, y (0) = 0
8. The method of successive differentiation to find the first k terms of the expansion in a power series solutions of differential equations at the specified initial conditions.
8.29. 4x2y ´´ + y = 0, y (1) = 1, y ´(1) = 1/2, k = 3
Main features
- Content type File
- Content description 97,99 kB
- Added to the site 10.07.2025
Additional description
Detailed solution. Designed in PDF format for easy viewing of IDZ solutions on smartphones and PCs. In MS Word (doc format) sent additionally.
Reviews
No reviews yet
0 000 X
There are no such quantities in stock
By clicking the button, you agree to
terms for buyers
Secure deal
Instant delivery