IDZ 9.1 - Option 28. Decisions Ryabushko AP IDZ 9.1 - Option 28. Decisions Ryabushko AP
IDZ 9.1 - Option 28. Decisions Ryabushko AP
IDZ 9.1 - Option 28. Decisions Ryabushko AP

IDZ 9.1 - Option 28. Decisions Ryabushko AP

Sold <10
0 000 X
There are no such quantities in stock
By clicking the button, you agree to terms for buyers
Secure deal
Instant delivery

Product description

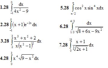
1. Calculate definite integrals accurate to two decimal places. (1-7)
2. Calculate the improper integrals and prove their divergence (1-2)

Main features

  • Content type File
  • Content description 123,01 kB
  • Updated on the site 09.07.2025
Detailed solution. Designed in PDF format for easy viewing of IDZ solutions on smartphones and PCs. In MS Word (doc format) sent additionally.

Images

Reviews

No reviews yet

0 000 X
There are no such quantities in stock
By clicking the button, you agree to terms for buyers
IDZ 9.1 - Option 28. Decisions Ryabushko AP
1 Sold <10
0 000 X
Secure deal
Instant delivery

You viewed