Контрольная работа Д4 В79 (рис 7 усл 9) термех Тарг 89г Контрольная работа Д4 В79 (рис 7 усл 9) термех Тарг 89г
Контрольная работа Д4 В79 (рис 7 усл 9) термех Тарг 89г
Контрольная работа Д4 В79 (рис 7 усл 9) термех Тарг 89г

Контрольная работа Д4 В79 (рис 7 усл 9) термех Тарг 89г

Продано менее 10
0 000 X
В наличии нет такого количества товара
Есть промокод?
Нажимая на кнопку, вы соглашаетесь с правилами покупки
Безопасная сделка
Мгновенная доставка

Описание товара

В ответ Вы получите архив с решением задачи Д4 Вариант 79 (Динамика 4, рисунок 7 условие 9) по термеху из решебника методички Тарга С.М. 1989 года,разработанную специально для студентов-заочников машиностроительных, строительных, транспортных, приборостроительных специальностей высших учебных заведений. Задача выполнена в формате word, запакована в архив zip.

Основные характеристики

  • Тип содержимого Файл
  • Описание содержимого 23,79 Кбайт
  • Обновлен на площадке 03.07.2013
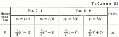
Решение задачи по термеху из Тарга С.М. Д4 В79. Условие задачи Д4: Механическая система состоит из прямоугольной вертикальной плиты 1 массой m1 = 18 кг, движущейся вдоль горизонтальных направляющих, и груза D массой m2 = 6 кг (рис. Д4.0 — Д4.9, табл. Д4). В момент времени t0 = 0, когда скорость плиты u0 = 2 м/с, груз под действием внутренних сил начинает двигаться по желобу плиты. На рис. 0—3 желоб КЕ прямолинейный и при движении груза расстояние s = AD изменяется по закону s = f1(t), а на рис. 4—9 желоб — окружность радиуса R = 0,8 м и при движении груза угол фи = ∟AC1D изменяется по закону ф = f2(t). В табл. Д4 эти зависимости даны отдельно для рис. 0 и 1, для рис. 2 и 3 и т. д., где s выражено в метрах, фи — в радианах» t — в секундах. Считая груз материальной точкой и пренебрегая всеми сопротивлениями, определить зависимость u = f(t), т. е. скорость плиты как функцию времени.

Спасибо за правильный выбор. Буду очень признателен, если Вы после сдачи оставите положительный отзыв.
Заранее спасибо.

Изображения

Отзывы

Отзывов пока нет

0 000 X
В наличии нет такого количества товара
Есть промокод?
Нажимая на кнопку, вы соглашаетесь с правилами покупки
Контрольная работа Д4 В79 (рис 7 усл 9) термех Тарг 89г
3 Продано менее 10
0 000 X
Безопасная сделка
Мгновенная доставка

Накопительная скидка

250 $ скидка 15%
50 $ скидка 10%
30 $ скидка 7%
15 $ скидка 5%
5 $ скидка 3%
3 $ скидка 2%
1 $ скидка 1%
Проверить свою скидку

Сумма покупок у продавца:  $

Ваша скидка:  %

Подарочная карта на 3.13 ₽ за положительный отзыв

Накопительная скидка

250 $ скидка 15%
50 $ скидка 10%
30 $ скидка 7%
15 $ скидка 5%
5 $ скидка 3%
3 $ скидка 2%
1 $ скидка 1%
Проверить свою скидку

Сумма покупок у продавца:  $

Ваша скидка:  %

Подарочная карта на 3.13 ₽ за положительный отзыв

Вы смотрели