Решение Д3 В15 (рисунок 1 условие 5) термех Тарг 1989
Sold <10
                                0 000 X
                                
                            
                            
                        
        
        
            
            
                There are no such quantities in stock
            
        
        
    
                    
                            By clicking the button, you agree to
                            
                                terms for buyers
                            
                        
                    
                
                
                    Secure deal
                
            
            
            
                
                    
                    
                        Instant delivery
                    
                
            
        Product description
                        
        
            
        
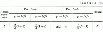
    Решение задачи по теормеху из Тарга С.М. Д3 В15. Условие задачи: Механическая система состоит из грузов D1 массой m1 = 2 кг и D2 массой m2 = 6 кг и из прямоугольной вертикальной плиты массой m3 = 12 кг, движущейся вдоль горизонтальных направляющих (рис. Д3.0 — Д3.9, табл. Д3). В момент времени t0 = 0, когда система находилась в покое, под действием внутренних сил грузы начинают двигаться по желобам, представляющим собой окружности радиусов r = 0,4 м и R = 0,8 м. При движении грузов угол фи1 = ∟A1C3D1 изменяется по закону фи1 = f1(t), а угол фи2 = ∟A2C3D2 — по закону фи2 = f2(t). В табл. ДЗ эти зависимости даны отдельно для рис. 0—4 и 5—9, где фи выражено в радианах, t — в секундах. Считая грузы материальными точками и пренебрегая всеми сопротивлениями, определить закон изменения со временем величины, указанной в таблице в столбце «Найти», т. е. x3 = t3(t) и N = f(t), где x3 — координата центра C3 плиты (зависимость x3 = f3(t) определяет закон движения плиты), N — полная нормальная реакция направляющих.
                    
                    
        
            Main features
- Content type File
- Content description 23,48 kB
- Updated on the site 28.06.2013
Additional description
                        After payment you will receive an archive with the task of theoretical mechanics D3 Option 15 (Figure 1 condition 5) of the training manual to Reshebnik Targ SM 1989 for part-time students of engineering, construction, transport, instrument-specialties of higher education. The task is made in the format word, packed to the archive zip. 
Thank you for choosing us. I would be very grateful if you leave after putting a positive review.
Thanks in advance.
                Thank you for choosing us. I would be very grateful if you leave after putting a positive review.
Thanks in advance.
Images
Reviews
No reviews yet
                                0 000 X
                                
                            
                            
                        
        
        
            
            
                There are no such quantities in stock
            
        
        
    
                    
                            By clicking the button, you agree to
                            
                                terms for buyers
                            
                        
                    
                
                
                    Secure deal
                
            
            
            
                
                    
                    
                        Instant delivery
                    
                
            
        Cumulative discount
| 250 $ | the discount is 15% | 
| 50 $ | the discount is 10% | 
| 30 $ | the discount is 7% | 
| 15 $ | the discount is 5% | 
| 5 $ | the discount is 3% | 
| 3 $ | the discount is 2% | 
| 1 $ | the discount is 1% | 
                    
                        Check your discount
                    
                    
                    
                        
                
            Amount of purchases from the seller: $
Your discount: %
                    
                        
                        0.04 $ gift card for a positive review
                    
                
            
        
    
        Cumulative discount
| 250 $ | the discount is 15% | 
| 50 $ | the discount is 10% | 
| 30 $ | the discount is 7% | 
| 15 $ | the discount is 5% | 
| 5 $ | the discount is 3% | 
| 3 $ | the discount is 2% | 
| 1 $ | the discount is 1% | 
                    
                        Check your discount
                    
                    
                    
                        
                
            Amount of purchases from the seller: $
Your discount: %
                    
                        
                        0.04 $ gift card for a positive review
                    
                
            
        
    
        