Решение Д3 В42 (рисунок 4 условие 2) термех Тарг 1989 Решение Д3 В42 (рисунок 4 условие 2) термех Тарг 1989
Решение Д3 В42 (рисунок 4 условие 2) термех Тарг 1989
Решение Д3 В42 (рисунок 4 условие 2) термех Тарг 1989

Решение Д3 В42 (рисунок 4 условие 2) термех Тарг 1989

Sold <10 Reviews 1
0 000 X
There are no such quantities in stock
By clicking the button, you agree to terms for buyers
Secure deal
Instant delivery

Product description

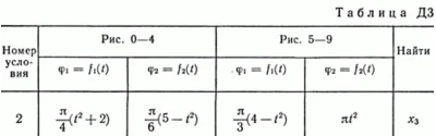
Решение задачи по теормеху из Тарга С.М. Д3 В42. Условие задачи: Механическая система состоит из грузов D1 массой m1 = 2 кг и D2 массой m2 = 6 кг и из прямоугольной вертикальной плиты массой m3 = 12 кг, движущейся вдоль горизонтальных направляющих (рис. Д3.0 — Д3.9, табл. Д3). В момент времени t0 = 0, когда система находилась в покое, под действием внутренних сил грузы начинают двигаться по желобам, представляющим собой окружности радиусов r = 0,4 м и R = 0,8 м. При движении грузов угол фи1 = ∟A1C3D1 изменяется по закону фи1 = f1(t), а угол фи2 = ∟A2C3D2 — по закону фи2 = f2(t). В табл. ДЗ эти зависимости даны отдельно для рис. 0—4 и 5—9, где фи выражено в радианах, t — в секундах. Считая грузы материальными точками и пренебрегая всеми сопротивлениями, определить закон изменения со временем величины, указанной в таблице в столбце «Найти», т. е. x3 = t3(t) и N = f(t), где x3 — координата центра C3 плиты (зависимость x3 = f3(t) определяет закон движения плиты), N — полная нормальная реакция направляющих.

Main features

  • Content type File
  • Content description 24,11 kB
  • Updated on the site 28.06.2013
После оплаты Вы получите архив с решением задачи по теоретической механике Д3 Вариант 42 (рисунок 4 условие 2) из решебника к методичке Тарг С.М. 1989 года для студентов-заочников машиностроительных, строительных, транспортных, приборостроительных специальностей высших учебных заведений. Задача выполнена в формате word, запакована в архив zip.

Спасибо, что выбрали Нас. Буду очень признателен, если Вы после сдачи оставите положительный отзыв.
Заранее спасибо.

Images

Reviews

1 0
0 000 X
There are no such quantities in stock
By clicking the button, you agree to terms for buyers
Решение Д3 В42 (рисунок 4 условие 2) термех Тарг 1989
3 Sold <10 Reviews 1
0 000 X
Secure deal
Instant delivery

Cumulative discount

250 $ the discount is 15%
50 $ the discount is 10%
30 $ the discount is 7%
15 $ the discount is 5%
5 $ the discount is 3%
3 $ the discount is 2%
1 $ the discount is 1%
Check your discount

Amount of purchases from the seller:  $

Your discount:  %

0.04 $ gift card for a positive review

Cumulative discount

250 $ the discount is 15%
50 $ the discount is 10%
30 $ the discount is 7%
15 $ the discount is 5%
5 $ the discount is 3%
3 $ the discount is 2%
1 $ the discount is 1%
Check your discount

Amount of purchases from the seller:  $

Your discount:  %

0.04 $ gift card for a positive review

You viewed