Решение Д3 В96 (рисунок 9 условие 6) термех Тарг 1989 Решение Д3 В96 (рисунок 9 условие 6) термех Тарг 1989
Решение Д3 В96 (рисунок 9 условие 6) термех Тарг 1989
Решение Д3 В96 (рисунок 9 условие 6) термех Тарг 1989

Решение Д3 В96 (рисунок 9 условие 6) термех Тарг 1989

Продано менее 10
0 000 X
В наличии нет такого количества товара
Есть промокод?
Нажимая на кнопку, вы соглашаетесь с правилами покупки
Безопасная сделка
Мгновенная доставка

Описание товара

После оплаты Вы получите архив с решением задачи по теоретической механике Д3 Вариант 96 (рисунок 9 условие 6) из решебника к методичке Тарг С.М. 1989 года для студентов-заочников машиностроительных, строительных, транспортных, приборостроительных специальностей высших учебных заведений. Задача выполнена в формате word, запакована в архив zip.

Основные характеристики

  • Тип содержимого Файл
  • Описание содержимого 23,27 Кбайт
  • Обновлен на площадке 28.06.2013
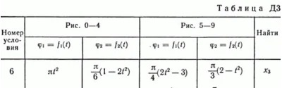
Решение задачи по теормеху из Тарга С.М. Д3 В96. Условие задачи: Механическая система состоит из грузов D1 массой m1 = 2 кг и D2 массой m2 = 6 кг и из прямоугольной вертикальной плиты массой m3 = 12 кг, движущейся вдоль горизонтальных направляющих (рис. Д3.0 — Д3.9, табл. Д3). В момент времени t0 = 0, когда система находилась в покое, под действием внутренних сил грузы начинают двигаться по желобам, представляющим собой окружности радиусов r = 0,4 м и R = 0,8 м. При движении грузов угол фи1 = ∟A1C3D1 изменяется по закону фи1 = f1(t), а угол фи2 = ∟A2C3D2 — по закону фи2 = f2(t). В табл. ДЗ эти зависимости даны отдельно для рис. 0—4 и 5—9, где фи выражено в радианах, t — в секундах. Считая грузы материальными точками и пренебрегая всеми сопротивлениями, определить закон изменения со временем величины, указанной в таблице в столбце «Найти», т. е. x3 = t3(t) и N = f(t), где x3 — координата центра C3 плиты (зависимость x3 = f3(t) определяет закон движения плиты), N — полная нормальная реакция направляющих.
Спасибо, что выбрали Нас. Буду очень признателен, если Вы после сдачи оставите положительный отзыв.
Заранее спасибо.

Изображения

Отзывы

Отзывов пока нет

0 000 X
В наличии нет такого количества товара
Есть промокод?
Нажимая на кнопку, вы соглашаетесь с правилами покупки
Решение Д3 В96 (рисунок 9 условие 6) термех Тарг 1989
3 Продано менее 10
0 000 X
Безопасная сделка
Мгновенная доставка

Накопительная скидка

250 $ скидка 15%
50 $ скидка 10%
30 $ скидка 7%
15 $ скидка 5%
5 $ скидка 3%
3 $ скидка 2%
1 $ скидка 1%
Проверить свою скидку

Сумма покупок у продавца:  $

Ваша скидка:  %

Подарочная карта на 3.25 ₽ за положительный отзыв

Накопительная скидка

250 $ скидка 15%
50 $ скидка 10%
30 $ скидка 7%
15 $ скидка 5%
5 $ скидка 3%
3 $ скидка 2%
1 $ скидка 1%
Проверить свою скидку

Сумма покупок у продавца:  $

Ваша скидка:  %

Подарочная карта на 3.25 ₽ за положительный отзыв

Вы смотрели