Solution B65 D3 (Figure 6 condition 5) termehu Targ 1989 Solution B65 D3 (Figure 6 condition 5) termehu Targ 1989
Solution B65 D3 (Figure 6 condition 5) termehu Targ 1989
Solution B65 D3 (Figure 6 condition 5) termehu Targ 1989

Solution B65 D3 (Figure 6 condition 5) termehu Targ 1989

Sold <10 Reviews 1
0 000 X
There are no such quantities in stock
By clicking the button, you agree to terms for buyers
Secure deal
Instant delivery

Product description

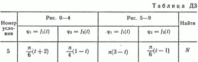
The task of teormeh of Targa SM D3 B65. Conditions of the problem: The mechanical system consists of D1 cargo weight m1 = 2 kg and D2 mass m2 = 6 kg and vertical slabs of a rectangular mass m3 = 12 kg, moving along the horizontal guides (Fig. D3.0 - D3.9, Table. D3 ). At time t0 = 0, when the system is at rest under the action of internal forces begin to move goods through the channels, which is a circle of radius r = 0,4 m and R = 0,8 m. The angle of the movement of goods fi1 = ∟A1C3D1 changes legally fi1 = f1 (t), and the angle fi2 = ∟A2C3D2 - legally fi2 = f2 (t). Table. DZ these relationships are given separately for rice. 0-4 and 5-9, where phi is expressed in radians, t - in seconds. Assuming loads of material point and ignoring all resistances, determine the variation over time, the value shown in the table under "Find" t. E. X3 = t3 (t) and N = f (t), where x3 - coordinate of the center plate C3 (dependence x3 = f3 (t) defines the law of motion of the plate), N - normal reaction complete guide.

Main features

  • Content type File
  • Content description 24,03 kB
  • Updated on the site 28.06.2013
After payment you will receive an archive with the task of theoretical mechanics D3 Option 65 (Figure 6 condition 5) of the training manual to Reshebnik Targ SM 1989 for part-time students of engineering, construction, transport, instrument-specialties of higher education. The task is made in the format word, packed to the archive zip.

Thank you for choosing us. I would be very grateful if you leave after putting a positive review.
Thanks in advance.

Images

Reviews

1 0
0 000 X
There are no such quantities in stock
By clicking the button, you agree to terms for buyers
Solution B65 D3 (Figure 6 condition 5) termehu Targ 1989
3 Sold <10 Reviews 1
0 000 X
Secure deal
Instant delivery

Cumulative discount

250 $ the discount is 15%
50 $ the discount is 10%
30 $ the discount is 7%
15 $ the discount is 5%
5 $ the discount is 3%
3 $ the discount is 2%
1 $ the discount is 1%
Check your discount

Amount of purchases from the seller:  $

Your discount:  %

0.04 $ gift card for a positive review

Cumulative discount

250 $ the discount is 15%
50 $ the discount is 10%
30 $ the discount is 7%
15 $ the discount is 5%
5 $ the discount is 3%
3 $ the discount is 2%
1 $ the discount is 1%
Check your discount

Amount of purchases from the seller:  $

Your discount:  %

0.04 $ gift card for a positive review

You viewed