Решение Д3-95 (Рисунок Д3.9 условие 5 С.М. Тарг 1989 г)
Продано менее 10
0 000 X
В наличии нет такого количества товара
Нажимая на кнопку, вы соглашаетесь с
правилами покупки
Безопасная сделка
Мгновенная доставка
Описание товара
Решение Д3-95 (Рисунок Д3.9 условие 5 С.М. Тарг 1989 г)
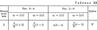
Механическая система состоит из грузов D1 массой m1 = 2 кг и D2 массой m2 = 6 кг и из прямоугольной вертикальной плиты массой m3 = 12 кг, движущейся вдоль горизонтальных направляющих (рис. Д3.0 — Д3.9, табл. Д3). В момент времени t0 = 0, когда система находилась в покое, под действием внутренних сил грузы начинают двигаться по желобам, представляющим собой окружности радиусов r = 0,4 м и R = 0,8 м.
При движении грузов угол φ1 = ∠A2C3D1изменяется по закону φ1 = f1(t), а угол φ2 = ∠A2C3D2 — по закону φ2 = f2(t). В табл. ДЗ эти зависимости даны отдельно для рис. 0—4 и 5—9, где φ выражено в радианах, t — в секундах. Считая грузы материальными точками и пренебрегая всеми сопротивлениями, определить закон изменения со временем величины, указанной в таблице в столбце «Найти», т. е. x3 = t3(t) и N = f(t), где x3 — координата центра C3 плиты (зависимость x3 = f3(t) определяет закон движения плиты), N — полная нормальная реакция направляющих.
Механическая система состоит из грузов D1 массой m1 = 2 кг и D2 массой m2 = 6 кг и из прямоугольной вертикальной плиты массой m3 = 12 кг, движущейся вдоль горизонтальных направляющих (рис. Д3.0 — Д3.9, табл. Д3). В момент времени t0 = 0, когда система находилась в покое, под действием внутренних сил грузы начинают двигаться по желобам, представляющим собой окружности радиусов r = 0,4 м и R = 0,8 м.
При движении грузов угол φ1 = ∠A2C3D1изменяется по закону φ1 = f1(t), а угол φ2 = ∠A2C3D2 — по закону φ2 = f2(t). В табл. ДЗ эти зависимости даны отдельно для рис. 0—4 и 5—9, где φ выражено в радианах, t — в секундах. Считая грузы материальными точками и пренебрегая всеми сопротивлениями, определить закон изменения со временем величины, указанной в таблице в столбце «Найти», т. е. x3 = t3(t) и N = f(t), где x3 — координата центра C3 плиты (зависимость x3 = f3(t) определяет закон движения плиты), N — полная нормальная реакция направляющих.
Основные характеристики
- Тип содержимого Файл
- Описание содержимого 24,76 Кбайт
- Обновлен на площадке 01.04.2018
Изображения
Отзывы
Отзывов пока нет
0 000 X
В наличии нет такого количества товара
Нажимая на кнопку, вы соглашаетесь с
правилами покупки
Безопасная сделка
Мгновенная доставка
Накопительная скидка
| 200 $ | скидка 15% |
| 100 $ | скидка 10% |
| 50 $ | скидка 7% |
| 20 $ | скидка 5% |
| 10 $ | скидка 3% |
| 5 $ | скидка 2% |
| 1 $ | скидка 1% |
Проверить свою скидку
Сумма покупок у продавца: $
Ваша скидка: %
Подарочная карта на 3.00 ₽ за положительный отзыв
Накопительная скидка
| 200 $ | скидка 15% |
| 100 $ | скидка 10% |
| 50 $ | скидка 7% |
| 20 $ | скидка 5% |
| 10 $ | скидка 3% |
| 5 $ | скидка 2% |
| 1 $ | скидка 1% |
Проверить свою скидку
Сумма покупок у продавца: $
Ваша скидка: %
Подарочная карта на 3.00 ₽ за положительный отзыв