Solution K1-92 (Figure K1.9 condition 2 SM Targ 1989)
Sold <10
0 000 X
There are no such quantities in stock
By clicking the button, you agree to
terms for buyers
Secure deal
Instant delivery
Product description
Solution K1-92 (Figure K1.9 condition 2 SM Targ 1989)
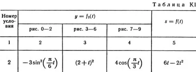
Under the number K1 two problems K1a and K1b are placed, which must be solved. Problem K1a. Point B moves in the xy plane (Figure K1.0 - K 1.9, Table K1; the trajectory of the point in the figures is shown conditionally). The law of motion of a point is given by the equations: x = f1 (t), y = f2 (t), where x and y are expressed in centimeters, t - in seconds. Find the equation of the trajectory of the point; for the instant t1 = 1 s, determine the speed and acceleration of the point, as well as its tangential and normal acceleration and the radius of curvature at the corresponding point of the trajectory. The dependence x = f1 (t) is shown directly in the figures, and the dependence y = f2 (t) is given in Table. K1 (for Figure 0-2 in Column 2, for Figure 3-6 in Column 3, for Figure 7-9 in Column 4). As in tasks C1-C4, the figure number is selected by the penultimate digit of the cipher, and the condition number in Table. K1 - according to the last. Problem K1b. The point moves along an arc of a circle of radius R = 2 m according to the law s = f (t), given in Table. K1 in column 5 (s in meters, t in seconds), where s = AM is the distance of a point from some origin A, measured along the arc of the circle. Determine the speed and acceleration of the point at time t1 = 1 s. Draw the vectors v and a in the figure, assuming that the point at this moment is in position M, and the positive direction of the reference s is from A to M.
Under the number K1 two problems K1a and K1b are placed, which must be solved. Problem K1a. Point B moves in the xy plane (Figure K1.0 - K 1.9, Table K1; the trajectory of the point in the figures is shown conditionally). The law of motion of a point is given by the equations: x = f1 (t), y = f2 (t), where x and y are expressed in centimeters, t - in seconds. Find the equation of the trajectory of the point; for the instant t1 = 1 s, determine the speed and acceleration of the point, as well as its tangential and normal acceleration and the radius of curvature at the corresponding point of the trajectory. The dependence x = f1 (t) is shown directly in the figures, and the dependence y = f2 (t) is given in Table. K1 (for Figure 0-2 in Column 2, for Figure 3-6 in Column 3, for Figure 7-9 in Column 4). As in tasks C1-C4, the figure number is selected by the penultimate digit of the cipher, and the condition number in Table. K1 - according to the last. Problem K1b. The point moves along an arc of a circle of radius R = 2 m according to the law s = f (t), given in Table. K1 in column 5 (s in meters, t in seconds), where s = AM is the distance of a point from some origin A, measured along the arc of the circle. Determine the speed and acceleration of the point at time t1 = 1 s. Draw the vectors v and a in the figure, assuming that the point at this moment is in position M, and the positive direction of the reference s is from A to M.
Main features
- Content type File
- Content description 28,53 kB
- Updated on the site 14.11.2017
Images
Reviews
No reviews yet
0 000 X
There are no such quantities in stock
By clicking the button, you agree to
terms for buyers
Secure deal
Instant delivery
Cumulative discount
| 200 $ | the discount is 15% |
| 100 $ | the discount is 10% |
| 50 $ | the discount is 7% |
| 20 $ | the discount is 5% |
| 10 $ | the discount is 3% |
| 5 $ | the discount is 2% |
| 1 $ | the discount is 1% |
Check your discount
Amount of purchases from the seller: $
Your discount: %
0.04 $ gift card for a positive review
Cumulative discount
| 200 $ | the discount is 15% |
| 100 $ | the discount is 10% |
| 50 $ | the discount is 7% |
| 20 $ | the discount is 5% |
| 10 $ | the discount is 3% |
| 5 $ | the discount is 2% |
| 1 $ | the discount is 1% |
Check your discount
Amount of purchases from the seller: $
Your discount: %
0.04 $ gift card for a positive review