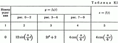
Решение задачи К1 рис 3 усл 0 (вариант 30) Тарг С.М. 89
Продано менее 10
                                0 000 X
                                
                            
                            
                        
        
        
            
            
                В наличии нет такого количества товара
            
        
        
    
                    
                            Нажимая на кнопку, вы соглашаетесь с
                            
                                правилами покупки
                            
                        
                    
                
                
                    Безопасная сделка
                
            
            
            
                
                    
                    
                        Мгновенная доставка
                    
                
            
        Описание товара
                        
        
            
        
    Сразу после оплаты Вы получите архив с решением задачи К1 Вариант 30 (рисунок 3 условие 0) из методички Тарг С.М. 1989 года для студентов-заочников. Задача выполнена в формате word, запакована в архив zip.
                    
                    
        
            Основные характеристики
- Тип содержимого Файл
- Описание содержимого 24,47 Кбайт
- Обновлен на площадке 07.06.2013
Дополнительное описание
                        "Методические указания и контрольные задания для студентов-заочников машиностроительных, строительных, транспортных, приборостроительных специальностей высших учебных заведений / Под ред. проф. С.М.Тарга, - М.: Высшая школа, 1989 г. Издание четвертое."
Если Вам понравилось решение и вы его успешно сдали, будьте добры оставьте положительный отзыв.
Спасибо.
                Если Вам понравилось решение и вы его успешно сдали, будьте добры оставьте положительный отзыв.
Спасибо.
Изображения
Отзывы
Отзывов пока нет
                                0 000 X
                                
                            
                            
                        
        
        
            
            
                В наличии нет такого количества товара
            
        
        
    
                    
                            Нажимая на кнопку, вы соглашаетесь с
                            
                                правилами покупки
                            
                        
                    
                
                
                    Безопасная сделка
                
            
            
            
                
                    
                    
                        Мгновенная доставка
                    
                
            
        Накопительная скидка
| 250 $ | скидка 15% | 
| 50 $ | скидка 10% | 
| 30 $ | скидка 7% | 
| 15 $ | скидка 5% | 
| 5 $ | скидка 3% | 
| 3 $ | скидка 2% | 
| 1 $ | скидка 1% | 
                    
                        Проверить свою скидку
                    
                    
                    
                        
                
            Сумма покупок у продавца: $
Ваша скидка: %
Накопительная скидка
| 250 $ | скидка 15% | 
| 50 $ | скидка 10% | 
| 30 $ | скидка 7% | 
| 15 $ | скидка 5% | 
| 5 $ | скидка 3% | 
| 3 $ | скидка 2% | 
| 1 $ | скидка 1% | 
                    
                        Проверить свою скидку
                    
                    
                    
                        
                
            Сумма покупок у продавца: $
Ваша скидка: %
